Membangun Brand Diri Sejak Muda: Muhammad Imam Muddin Ajak Generasi Muda Bangun Diri dan Daerahnya
Pernahkah kamu merasa tenang saat saldo naik, lalu tiba-tiba gelisah ketika grafik turun?
Aku pernah hidup dalam lingkaran itu , menatap layar crypto seolah di sana ada jaminan bahagia.Setiap lonjakan harga membuatku lupa diri, setiap penurunan membuatku kehilangan arah.Sampai akhirnya aku sadar, yang naik bukan hanya grafik, tapi juga egoku.Dan yang jatuh bukan cuma aset, tapi ketenangan jiwaku.
Dari situ aku mulai bertanya: apa sebenarnya yang membuat hati resah? Uangnya, atau caranya? Pertanyaan itu membawa aku berpindah dari crypto menuju saham halal, dari logika angka menuju pemahaman fikih dan psikologi ,tempat aku akhirnya belajar bahwa ketenangan tidak pernah dijual di pasar mana pun.
“Ketenangan tidak pernah dijual di pasar mana pun. Ia hanya ditemukan ketika kita belajar membedakan antara rezeki dan nafsu.”
Dari pengalaman itulah saya mulai melihat bahwa kecemasan finansial bukan sekadar urusan psikologis, tapi juga persoalan fikih dan niat. Bahwa ketika orientasi kita hanya mengejar hasil, hati mudah goyah bersama perubahan pasar. Namun saat fokus kita bergeser pada kehalalan proses, jiwa perlahan menemukan ritmenya sendiri. Dari sinilah lahir gagasan Spiritual Anxiety Index – Imam Model (SAI-IM), sebuah pendekatan reflektif yang mencoba membaca ulang kecemasan manusia dengan kacamata spiritual Islam. Model ini tidak berangkat dari teori Barat, tetapi dari pergulatan batin seorang manusia modern yang belajar bahwa keseimbangan sejati tidak dapat dicapai hanya lewat grafik, melainkan lewat kejujuran hati dan kedekatan dengan Allah.

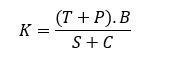
Rumus Mengukur Tingkat Kecemasan (SAI-IM)
Ketenangan batin ternyata bisa dijelaskan bukan dengan angka keuntungan, tapi dengan keseimbangan antara tekanan, luka, dan spiritualitas. Dari hasil perenungan dan pengalaman pribadi, lahirlah sebuah rumus sederhana yang saya sebut Spiritual Anxiety Index – Imam Model (SAI-IM):

Keterangan:
K = Skor Kecemasan
T = Tekanan atau stres saat ini (1–10)
P = Trauma masa lalu (1–10)
B = Faktor biologis/genetik (1–2)
S = Dukungan sosial (1–10)
C = Kemampuan coping spiritual (1–10)
Interpretasi:
K < 1 → Kecemasan rendah
1 ≤ K < 2 → Kecemasan sedang
K ≥ 2 → Kecemasan tinggi
Cara Menghitung Nilai Kecemasan
Langkah-langkahnya sederhana:
1. Tambahkan tekanan (T) dan trauma (P)
2. Kalikan hasilnya dengan faktor biologis (B)
3. Tambahkan dukungan sosial (S) dan coping spiritual (C)
4. Bagi hasil langkah 2 dengan langkah 3

Dari Mana Nilainya Didapat?
Nilai-nilai diisi berdasarkan refleksi diri (self-assessment), bukan alat psikologi rumit.
Berikut panduan penilaiannya:
T (Tekanan): Seberapa besar stres hidup yang kamu rasakan?
1–3 = tenang, 4–6 = sedang, 7–10 = sering cemas.
P (Trauma): Apakah luka masa lalu masih memengaruhi perasaanmu?
1–3 = tidak terlalu, 4–6 = sesekali, 7–10 = masih kuat.
B (Biologis): Apakah kondisi fisik memengaruhi kecemasanmu?
1 = tidak, 1.5 = kadang, 2 = berpengaruh kuat.
S (Dukungan sosial): Apakah kamu punya teman/keluarga yang mendukungmu?
1–3 = lemah, 4–6 = sedang, 7–10 = kuat.
C (Coping spiritual): Seberapa sering kamu menenangkan diri lewat doa, dzikir, atau ibadah?
1–3 = jarang, 4–6 = kadang, 7–10 = rutin dan mendalam.
Dengan rumus ini, kita bisa merefleksikan kondisi diri tanpa alat tes rumit.Kita hanya perlu jujur: seberapa besar tekanan yang kita rasakan, seberapa dalam trauma masa lalu, seberapa kuat dukungan sosial, dan seberapa dekat kita dengan nilai spiritual.

Makna Spiritualitas di Balik Angka
Ketika saya aktif di crypto trading, nilai T (tekanan) dan P (trauma) tinggi, karena di balik keuntungan cepat ada rasa bersalah yang sulit dijelaskan. Saya sadar, bukan grafiknya yang membuat saya cemas, tetapi rasa takut bahwa uang yang saya hasilkan tidak sepenuhnya halal. Saat beralih ke investasi saham syariah, saya belajar bahwa setiap keputusan finansial bukan hanya tentang risiko ekonomi, tapi juga risiko spiritual. Kini, ketika memilih saham sesuai Indeks Saham Syariah Indonesia (ISSI), saya merasa lebih tenang. Nilai S (dukungan sosial) dan C (coping spiritual) meningkat — menurunkan K menjadi di bawah 1, tanda ketenangan batin.
Semakin besar nilai (S + C), semakin tenang jiwamu. Artinya, dukungan sosial dan kedekatan spiritual berperan sebagai penurun kecemasan alami.
Sebaliknya, ketika (T + P) tinggi tapi C rendah, hati mudah gelisah dan hidup terasa berat.
Untuk menurunkan nilai K bukan dengan menghindari masalah, tetapi dengan memperkuat hal-hal yang halal dan spiritual: menjaga rezeki bersih, memperbanyak doa, dan bergaul dengan orang yang menenangkan hati.
Model ini tidak lahir dari teori psikologi Barat, tetapi dari refleksi diri yang berpadu dengan nilai-nilai tasawuf.
Saya menyadari bahwa hidup tidak akan pernah benar-benar tenang jika sumber rezekinya tidak halal.
Dalam Islam, halal dan haram bukan hanya batas hukum, tetapi juga cermin kesehatan jiwa.
Allah berfirman,
“Orang-orang yang memakan (bertransaksi dengan) riba tidak dapat berdiri, kecuali seperti orang yang berdiri sempoyongan karena kesurupan setan. Demikian itu terjadi karena mereka berkata bahwa jual beli itu sama dengan riba. Padahal, Allah telah menghalalkan jual beli dan mengharamkan riba. Siapa pun yang telah sampai kepadanya peringatan dari Tuhannya (menyangkut riba), lalu dia berhenti sehingga apa yang telah diperolehnya dahulu menjadi miliknya dan urusannya (terserah) kepada Allah. Siapa yang mengulangi (transaksi riba), mereka itulah penghuni neraka. Mereka kekal di dalamnya” (QS. Al-Baqarah: 275).
Ayat ini bukan sekadar aturan, tetapi juga terapi jiwa. Saat seseorang menjaga kehalalan usahanya, hatinya ikut tenteram.
Ia juga Meminta Arahan Serta Pembelajaran melalui ilmu Masail Fiqhiyah, Yang Tentu Berhubungan Dengan Konsep Crypto. Yakni Dosen M . Aulia Kemal Fasas, Lc., M.A .Dalam pemahaman ilmu fikih, konsep halal dan haram bukan sekadar batas hukum, tetapi juga cermin kebersihan hati dan akal. Setiap transaksi, keputusan, dan usaha memiliki nilai moral di hadapan Allah. Yang halal menumbuhkan ketenangan karena selaras dengan syariat dan keadilan, sementara yang haram membawa kegelisahan batin karena bertentangan dengan fitrah manusia yang mencintai kebenaran.
Fikih mengajarkan bahwa kejelasan (bayan) dan keterhindaran dari spekulasi (gharar) adalah bagian dari menjaga ketenangan jiwa. Maka ketika seseorang mencari rezeki dengan cara yang halal, ia bukan hanya menegakkan hukum Allah, tetapi juga sedang melakukan penyembuhan psikologis: menyucikan niat, menenangkan hati, dan menutup pintu kecemasan yang bersumber dari keraguan. Dari sinilah saya memahami bahwa kecemasan bukan hanya persoalan psikologis, melainkan juga persoalan fikih dalam jiwa.
Setiap kali manusia melanggar batas syariat, hatinya kehilangan rasa amanah terhadap dirinya sendiri. Dalam model SAI-IM, unsur coping spiritual (C) tidak hanya bermakna ibadah, tapi juga kepatuhan terhadap prinsip halal dalam muamalah.
Nilai inilah yang menyeimbangkan tekanan batin dan trauma masa lalu, karena di balik setiap keputusan yang halal ada ketenangan, dan di balik setiap tindakan yang ragu-ragu ada kegelisahan.
Angka-angka dalam rumus SAI-IM memang tampak sederhana, tapi di baliknya tersimpan pesan mendalam: bahwa jiwa manusia bekerja seperti timbangan antara dunia dan akhirat.
Semakin besar nilai S + C (dukungan sosial dan spiritualitas), semakin ringan beban hidup yang terasa.
Sebaliknya, ketika T + P (tekanan dan trauma) dibiarkan menguasai tanpa keseimbangan spiritual, hati mudah kehilangan arah.
Ketenangan sejati bukan hasil dari menghapus masalah, tapi dari keberanian menghadapi hidup dengan cara yang halal. Fikih memberi batas, psikologi memberi pemahaman, dan spiritualitas memberi arah — tiga hal yang jika berjalan bersama, bisa membuat seseorang tetap tenang meski dunia tak selalu stabil.
“Rezeki yang halal mungkin tidak selalu besar, tapi selalu menenangkan. Dan hati yang dekat dengan Allah tak pernah takut kehilangan apa pun selain ridha-Nya.”
Penutup: Rumus Jiwa di Era Finansial Modern
Setiap orang punya cara menghadapi cemas. Ada yang melarikan diri ke investasi, ada yang mencari validasi, dan ada yang akhirnya pulang bukan ke pasar, tapi ke hati.
Saya belajar bahwa dunia finansial modern tak hanya mengajarkan cara berinvestasi, tapi juga cara memahami diri: seberapa kuat kita menjaga halal di tengah godaan cepat kaya, dan seberapa tulus kita memaknai tenang sebagai anugerah, bukan pencapaian. Ketenangan sejati tidak akan ditemukan di layar harga atau angka portofolio, tapi dalam keyakinan bahwa setiap rezeki yang halal selalu membawa barakah, sekalipun kecil. Dan mungkin di situlah makna sebenarnya dari rumus jiwa — keseimbangan antara usaha, doa, dan kesadaran bahwa hati yang bersih adalah aset paling berharga dari semuanya.
Syarat dan Ketentuan Penulisan di Siaran-Berita.com :
Setiap penulis setuju untuk bertanggung jawab atas berita, artikel, opini atau tulisan apa pun yang mereka publikasikan di siaran-berita.com dan klaim apa pun yang timbul dari publikasi tersebut, termasuk, namun tidak terbatas pada, klaim pencemaran nama baik, pelanggaran privasi, pelanggaran hak cipta, merek dagang, nama dagang atau pelanggaran paten, berita palsu, atau klaim lain apa pun yang didasarkan pada perbuatan melawan hukum atau kontrak, atau berdasarkan undang-undang negara Republik Indonesia
Selain itu, setiap penulis setuju, untuk membebaskan siaran-berita.com dari semua klaim (baik yang sah maupun tidak sah), tuntutan hukum, putusan, kewajiban, ganti rugi, kerugian, biaya, dan pengeluaran apa pun (termasuk penilaian biaya pengacara yang wajar) yang timbul dari atau disebabkan oleh publikasi berita apa pun yang dipublikasikan oleh penulis.”







































































